Το θέμα της κατασκευής κατοικιών στην Κρύα Βρύση είναι μια ιστορία που κρατάει περίπου 35 χρόνια και καταδεικνύει σε μεγάλο βαθμό την ανικανότητα συνεργασίας Α΄Βαθμού Αυτοδιοίκησης με τον Β΄Βαθμό Αυτοδιοίκησης και την Κεντρική Εξουσία. Δείχνει αν θέλετε και τις παθογένειες του Ελληνικού Δημοσίου και του μέγα ερωτήματος «Ποιος είναι υπεύθυνος;».
Το κουβάρι αρχίζει να ξετυλίγεται όταν σε ένα μικρό μονόστηλο της ομογενειακής εφημερίδας «Εθνικός Κήρυκας» με ημερομηνία 22 Μαϊου 1987 βρίσκουμε την πρώτη δημοσίευση για τις Εργατικές Πολυκατοικίες στην Κρύα Βρύση.
Χαρακτηριστικά αναφέρεται: «Έκταση 41 στρεμμάτων παραχωρείται από το Υπουργείο Υγείας και Πρόνοιας και Κοινωνικών Ασφαλίσεων, με απόφαση του κ. Τσιγαρίδα στην περιοχή Κρύας Βρύσης Πέλλας για την ανέγερση εργατικών πολυκατοικιών»
Τα χρόνια περνούσαν μέχρι να γίνει πραγματικότητα στην Κρύα Βρύση η κατασκευή «Λαϊκών Κατοικιών». Πράγματι κοντά στο 2006 είχε ολοκληρωθεί η κατασκευή τεσσάρων Λαϊκών Κατοικιών στο Νοτιοανατολικό Τμήμα της Κρύας Βρύσης.
Αυτό το έργο όμως αφορούσε ένα νέο παράλληλο πρόγραμμα που είχε υποβληθεί από την Κρατική Περιφέρεια Κεντρικής Μακεδονίας (νυν Αποκεντρωμένη Διοίκηση Μακεδονίας Θράκης) και είχε κόστος 800.000,00€
Μάλιστα είχε καταρτιστεί και η πρώτη λίστα των δικαιούχων που δυστυχώς όμως δεν έγινε ποτέ η παραχώρησή τους.
Σε σύντομο χρονικό διάστημα οι παρατημένες Λαϊκές Κατοικίες έγιναν πλιάτσικο από άγνωστα άτομα. Κυριολεκτικά τις «ρήμαξαν» ξηλώνοντας από πατώματα, καλοριφέρ μέχρι και τα καλώδια των ηλεκτρολογικών εγκαταστάσεων.
Κάπου το 2012 μεταβαίνει κλιμάκιο τόσο στις πληγωμένες «Λαϊκές Κατοικίες Αριδαίας» όσο και τις «Λαϊκές Κατοικίες Κρύας Βρύσης». Εκεί διαπιστώνεται ότι οι Λαϊκές Κατοικίες Αριδαίας μπορούν να δοθούν στους δικαιούχους κάτι που λαμβάνει σάρκα και οστά μερικούς μήνες αργότερα.
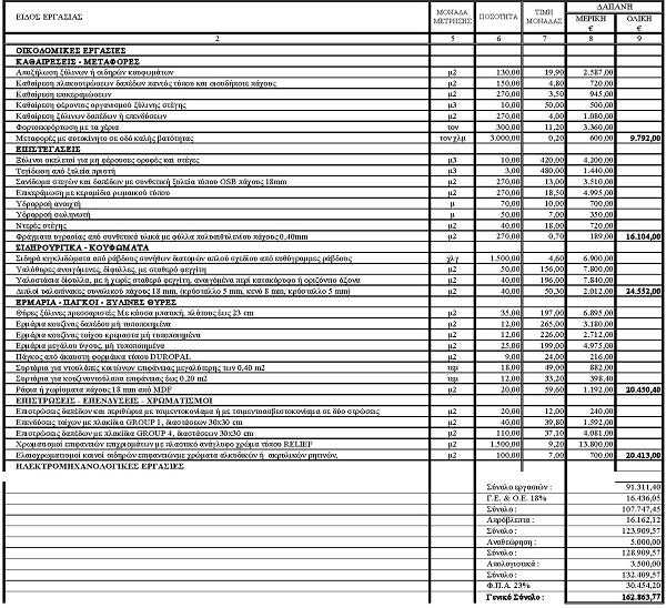
Οι Λαϊκές Κατοικίες όμως της Κρύας Βρύσης είναι πιο δύσκολο να παραδοθούν σε δικαιούχους. Οι ζημίες είναι εκτεταμένες και δεν υπάρχει χρηματοδοτικό εργαλείο για να επισκευαστούν. Ο Προϋπολογισμός του έργου είναι περίπου 162.000,00€ με τιμές του 2011. Μάλιστα πολλές φορές έχει κληθεί και η Πυροσβεστική Υπηρεσία Γιαννιτσών για να κατασβέσει πυρκαγιές που βάζουν άγνωστοι εντός των κτιρίων και έχουν συνταχθεί και τα αντίστοιχα υπηρεσιακά έγγραφα συμβάντων.
Από τότε μέχρι σήμερα οι Λαϊκές Κατοικίες Κρύας Βρύσης αναζητούν κάποιον υπεύθυνο (Δήμο Πέλλας – Περιφέρεια Κεντρικής Μακεδονίας– Αποκεντρωμένη Διοίκηση Μακεδονίας Θράκης – Δικαιοσύνη) να ασχοληθεί μαζί τους και να μπορέσουν να επισκευαστούν για να δοθούν σε δικαιούχες οικογένειες που τις έχουν τόσο ανάγκη.
Τραγική Ειρωνεία η πινακίδα του Υπουργείου Απασχόλησης & Κοινωνικής Προστασίας βρίσκεται όρθια ακόμα και σήμερα στην Κρύα Βρύση (Φωτογραφία να μας θυμίζει την ανικανότητα συνεργασίας. Λίγο υπομονή σε λιγότερο από ένα μήνα μπορούμε να καταθέσουμε στεφάνι για τη συμπλήρωση 35 χρόνων από την παραχώρηση 41 στρεμμάτων για την κατασκευή τους!!!
Δημ. Τσουφλίδης







2 Σχόλια
Μια πονεμένη ιστορία η οποία σκαλωνε μόνιμα στην γραφειοκρατία και την ανικανότητα. Θα αναφερθώ μόνο στα φρέσκα κουλούρια γιατί τα άλλα έχουν γίνει πλέον κριτσινια. Όταν ανέλαβε ο Στάμκος Δήμαρχος Πέλλας, επισκέφτηκε τον συγκεκριμένο χώρο με την παρουσία τοπικού δημοσιογράφου και εφημεριδοπώλη, έδωσε συνέντευξη, και αφού βγήκε πολλαπλές φωτογραφίες, αποχώρησε με ύφος χιλίων Καρδιναλίων. Στην συνάντηση ήταν παρόντες συνεργάτες του Δημοτικοί και Τοπικοι Συμβουλοι καθώς και όλοι οι παρατρεχαμενοι δούλοι του. Αφού αφόρισε έναν έναν ξεχωριστά τους Νομάρχες ( Σιβενα, Καραμανη, Θεοδωρίδη) ,τους Δημάρχους Κρ.Βρυσης και τους παράγοντες των υπουργείων Υγείας και Εσωτερικών, υποσχέθηκε ότι εντός τριμήνου θα επισκευαστούν και θα δοθούν στους δικαιούχους. Όπως σε όλα έκανε το αυτονόητο, δηλαδή ΤΙΠΟΤΑ . Και μάλιστα δεν ζήτησε ούτε καν ευθύνες για τους υπαίτιους της κατασπατάλησης του δημοσίου χρήματος. Μου φαίνεται φυσιολογικό γιατί έτσι λειτουργεί 12 χρονια σε όλα τα θέματα, ρίχνοντας λάσπη στους άλλους ενώ ο ίδιος είναι ο μόνιμα ΑΠΩΝ από τις εξελίξεις. Κατάντια μεγάλη για έναν ιστορικό Δήμο που θα κάνει να δει ανάπτυξη τόσα χρόνια, όσα και η Ζιμπάμπουε.
ΑπάντησηΔιαγραφήο σταμκος ειναι λιγος για τον δημο, το ίδιο και οι αυλικοι του αντιδημαρχοι.
ΑπάντησηΔιαγραφήΜη διστάσετε να προσθέσετε σχόλια στο δημοσίευμα που σας ενδιαφέρει.
Η εφημερίδα karatzova.com ενθαρρύνει τη δημόσια έκφραση των αναγνωστών της εφόσον τηρούνται οι βασικοί κανόνες δημοσιότητας που ορίζουν οι ελληνικοί νόμοι. Τα σχόλια εκφράζουν αποκλειστικά τον εκάστοτε σχολιαστή.